Meta 发布 SAM Audio:首个统一多模态音频分离模型,准实时处理;深圳地铁试点导盲机器人丨日报
开发者朋友们大家好:
这里是「RTE 开发者日报」,每天和大家一起看新闻、聊八卦。我们的社区编辑团队会整理分享 RTE(Real-Time Engagement) 领域内「有话题的技术」、「有亮点的产品」、「有思考的文章」、「有态度的观点」、「有看点的活动」,但内容仅代表编辑的个人观点,欢迎大家留言、跟帖、讨论。
本期编辑:@瓒an、@鲍勃
01 有话题的技术
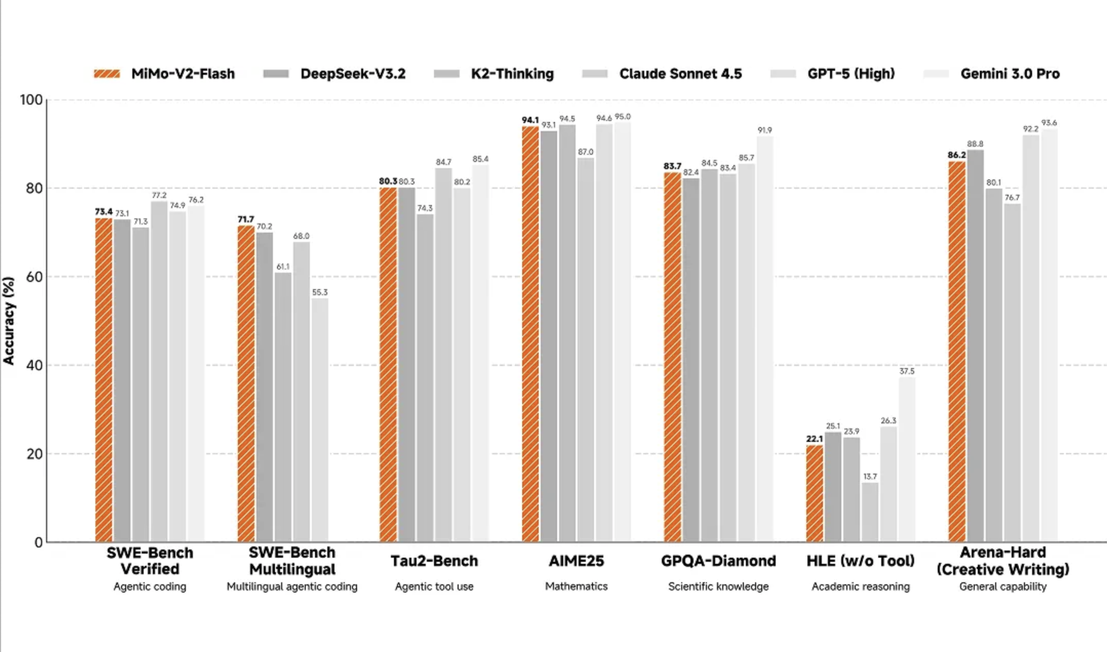
1、小米网页 AI 聊天服务惊喜亮相,MiMo-V2-Flash 模型发布、代码能力开源最强
12 月 16 日消息,小米今日发布 Xiaomi MiMo-V2-Flash 开源 MoE 模型,总参数量 309B,活跃参数量 15B,专为智能体 AI 设计,专注于快。

小米官方介绍称,这是一个专为极致推理效率自研的总参数 309B(激活 15B)的 MoE 模型,通过 Hybrid 注意力架构创新及多层 MTP 推理加速,在多个 Agent 测评基准上保持进入全球开源模型 Top 2;代码能力超过所有开源模型,比肩标杆闭源模型 Claude 4.5 Sonnet,但推理成本仅为其 2.5%,生成速度提升 2 倍。
Xiaomi MiMo-V2-Flash 采用 1:5 的 Global Attention 与 Sliding Window Attention (SWA) 混合结构,128 窗口大小,原生 32K 外扩 256K 训练。
同时,小米推出了一个在线 AI 聊天服务 Xiaomi MiMO Studio,用户可以在其中体验 Xiaomi MiMo-V2-Flash。该服务支持深度搜索和联网搜索。
Xiaomi MiMo-V2-Flash 的模型权重和推理代码均采用 MIT 协议全面开源。MiMo-V2-Flash 的 API 定价为输入 $0.1/M tokens,输出 $0.3/M tokens,API 限时免费。
Xiaomi MiMo AI Studio 体验地址:
http://aistudio.xiaomimimo.comHuggingFace
模型地址:
http://hf.co/XiaomiMiMo/MiMo-V2-Flash
技术报道地址:
http://github.com/XiaomiMiMo/MiMo-V2-Flash/blob/main/paper.pdf
( @极客公园、@Xiaomi Mimo)
2、阿里万相 2.6 发布:支持角色定制、音画同步与智能分镜调度,图生视频国内领先
12 月 16 日,阿里发布「万相 2.6」大模型,在视频生成领域推出角色定制、音画同步和智能分镜调度等功能,旨在解决内容创作中的一致性与复杂场景痛点。文生图和图生图方面,模型在艺术风格还原、人像质感、图表生成及图文混排、多图融合上均有提升。
根据权威大模型评测集 LMArena 的测试数据显示,万相图生视频位居国内第一。
角色定制与音画同步:支持输入视频复刻角色五官、动作及说话语气,实现双人及多角色的口型与声音精准匹配,并具备音频驱动生成视频能力。
智能分镜调度:通过「总体描述 + 镜头序号 + 时间戳 + 分镜内容」的公式化输入,实现复杂镜头切换、角色站位控制和跨镜内容一致性。
图生视频国内领先:根据 LMArena 评测,万相图生视频能力位居国内第一,已集成至「千问 APP」的「AI 小剧场」玩法,支持「角色合拍」。
商用级图像生成:提供文生图、图生图能力,支持多图创意融合、精确的 logo 及包装细节复刻,并具备专业的灯光、环境细节控制,满足品牌宣传图、绘本创作等需求。
长视频生成支持:视频生成最长可达 15 秒(角色扮演功能 10 秒),适用于短视频、广告及短剧片段的生产。
「万相 2.6」系列模型已正式发布,可通过阿里云「百炼」平台调用 API,或在「通义万相」官网直接体验。
通义万相官网链接:
https://tongyi.aliyun.com/wan/
阿里云百炼 API 链接:
https://bailian.console.aliyun.com/?tab=model#/model-market/all?providers=wan
(@通义万相 Wan)
3、已免费开放:OpenAI 最强 AI 生图模型登场,奥特曼变身性感消防员
12 月 17 日消息,OpenAI 昨日(12 月 16 日)发布博文,推出「全新旗舰 ChatGPT 图像生成模型」GPT Image 1.5,并罕见公开了该项目背后的庞大研发团队名单,并同步在 ChatGPT 中推出了专用的「Images」标签页。
此次更新被视为 ChatGPT 图像生成能力的重大飞跃,新模型不仅能生成高保真图像,更在「听懂人话」方面表现出色,即具备极强的提示词遵循能力。
无论是从零创作还是基于上传照片进行编辑,GPT Image 1.5 都能在保留原图核心要素的同时,精准执行用户的指令。
据 OpenAI 介绍,新模型最突出的亮点在于对细节的极致掌控。在生成或编辑图像时候,GPT Image 1.5 能够完美保留光线、构图以及人物外观等关键特征,避免了以往 AI 改图「面目全非」的问题。
此外,该模型大幅提升特定场景下的表现,例如能生成更逼真的服装试穿效果,提供改进的风格滤镜,并能进行极具原创感的概念性转换。
长期以来困扰 AI 绘图的「文本乱码」问题,在 GPT Image 1.5 中得到了显著改善。新模型在文本渲染方面表现优异,能准确地将文字融入图像中。
同时,OpenAI 全面升级 ChatGPT 的编辑工具,用户现在可以精准地添加、移除、组合或移位图像元素。OpenAI 将此次升级形容为把 ChatGPT 变成了一个随身携带的「迷你修图工作室」,用户随时随地都能进行专业级的图像处理。
为了提升使用体验,ChatGPT 在网页端(chatgpt.com)和移动应用侧边栏中新增了独立的「Images」入口,该界面内置了多种预设滤镜和灵感提示词,帮助用户快速上手,已面向全球所有 ChatGPT 用户和 API 用户开放,并且与所有模型无缝兼容。
OpenAI 首席执行官山姆・奥特曼(Sam Altman)通过其个人 X 账号,发布了一张生成的渲染图,变身消防员,结合奥特曼此前拉响的「红色警报」,暗示奥特曼成功「灭火」。
(@IT 之家)
4、Meta 发布 SAM Audio:首个支持文本、视觉、时间段提示的统一多模态音频分离模型,准实时音频处理
Meta 推出「SAM Audio」,一款首创的统一多模态模型,可使用文本、视觉或时间跨度提示从复杂音频中分离出特定声音,并实现快于实时的处理速度。该模型由「Perception Encoder Audiovisual (PE-AV)」驱动,已超越现有 SOTA 音频分离技术,并同步发布基准与自动评估工具。
统一多模态提示接口:该模型首次支持文本(如「狗叫声」)、视觉(点击视频中物体)和业界首创的时间跨度提示,实现对音频的精细分离,覆盖乐器、语音和通用声音分离。
核心架构与训练数据:「SAM Audio」基于流匹配扩散 Transformer 的生成建模框架,结合「PE-AV」作为核心引擎。PE-AV 利用 PyTorchVideo、FAISS 和对比学习,在超过 1 亿视频上进行大规模多模态对比学习训练。
性能超越与效率:在通用音频分离任务上显著超越现有 SOTA 模型,并可匹配领域特定模型表现。模型推理速度快于实时 (RTF ≈ 0.7),支持 500M 至 3B 参数规模。
新型评估工具:同步发布「SAM Audio-Bench」,首个「in-the-wild」音频分离基准,覆盖语音、音乐和通用音效;以及「SAM Audio Judge」,首个基于感知标准、无需参考音轨的自动化评估模型。
应用场景与合作:模型旨在赋能音频清理、背景噪声移除、乐器分离等创意工具开发,并已与助听器制造商「Starkey」及残障创业加速器「2gether-International」合作,探索其在辅助技术中的应用潜力。
相关链接:
https://ai.meta.com/blog/sam-audio/
相关论文:
https://ai.meta.com/research/publications/sam-audio-segment-anything-in-audio/
https://ai.meta.com/research/publications/pushing-the-frontier-of-audiovisual-perception-with-large-scale-multimodal-correspondence-learning/
( @Meta AI Blog)
02 有亮点的产品
1、深圳地铁黄木岗枢纽试点部署智能导盲犬:融合低速无人驾驶与多传感器避障
深圳地铁在黄木岗枢纽首次试点应用智能导盲犬「小蒜」,为视障乘客提供科技辅助出行。该智能导盲犬融合了低速无人驾驶技术与多传感器融合算法,旨在解决视障人士在地铁环境中的导航与避障问题。
低速无人驾驶技术:采用轮式设计,而非四足,通过手扶拉杆进行引导,搭载低速无人驾驶技术。
3D 体素神经网络导航:利用 3D 体素神经网络进行环境建模与路径规划。
多传感器融合避障:集成超声波雷达、摄像头等多种传感器,实现对镜面、悬空等复杂障碍物的识别与规避,并提供转向提示。
试点运营与推广计划:12 月进行试用,有专人协助;若顺利,2026 年 1 月起自动化投放,并逐步推广至全市重点交通枢纽。
(@深圳新闻广播)
2、飞书 aily 工作助手上线任务模式:面向复杂多步骤任务的「真干活助手」
昨天,飞书 aily 工作助手上线全新任务模式,定位为可自主执行复杂、多步骤任务的智能体,支持定时任务、跨模块联动与企业自定义 MCP 接入,旨在提升团队协作与内容生产效率。
在任务模式下,用户可将多步骤、高要求的工作任务直接指派给 aily 工作助手,其将自主思考与执行,用户只需等待消息并验收成果。
官方示例显示,该助手可进行数据库查询与结果汇总、跨表关联分析,并将结论写入企业知识库;同时支持设置定时任务,例如每日 17:43 自动生成销售业绩汇总、追踪竞品或撰写周报,从而减少重复性事务。
功能联动方面,aily 工作助手与飞书的云文档、任务、日程、多维表格等模块无缝整合,并可接入企业自定义 MCP,使其天然理解企业知识与工作进展。其产出直接沉淀在既有工作流中,无需下载或复制,用户可一键分发与协同编辑,提升跨团队协作的时效与一致性。
( @APPSO)
03 有态度的观点
1、「AI 垃圾」当选韦氏词典年度词
据 The Verge 报道,昨天,韦伯斯特词典(韦氏词典)公布 2025 年年度词为「slop」(AI 垃圾),义为「由 AI 大量生产的低质量数字内容」。
「AI slop」的字面意思为「泥浆」或「污水」,不仅在语音上带有「不想触碰的湿滑感」,也成为对人工智能替代人类创造力的讽刺与警示。
过去一年,主流平台对 AI 内容的态度出现分化:YouTube、维基百科、Spotify 与 Pinterest 加强防范措施,试图阻止低质生成内容的扩散;而 Meta 与 OpenAI 则积极推出 AI 短视频应用,鼓励用户生产和分享此类内容。
此前,迪士尼更是与 OpenAI 达成合作,计划在 Disney+ 引入由 Sora 生成的短视频,并斥资 10 亿美元入股 OpenAI。这些举措使「AI 垃圾」的现实感更为凸显。
与此同时,Sora 的社交化扩张带来大量怀旧主题与深度伪造(Deep Fake)视频,用户通过重复模板制造流量,却缺乏原创性与语境理解。
这类「爆量但低质」的内容形态成为平台规模增长的工具,也加剧了公众对 AI 内容的信任危机。
尽管 Sora 宣称所有视频带有「AI 生成」信号,但在实际使用中,水印并不明显,甚至有绕过水印下载原视频的「对策」,进一步引发误导风险。
( @APPSO)

阅读更多 Voice Agent 学习笔记:了解最懂 AI 语音的头脑都在思考什么
写在最后:
我们欢迎更多的小伙伴参与「RTE 开发者日报」内容的共创,感兴趣的朋友请通过开发者社区或公众号留言联系,记得报暗号「共创」。
对于任何反馈(包括但不限于内容上、形式上)我们不胜感激、并有小惊喜回馈,例如你希望从日报中看到哪些内容;自己推荐的信源、项目、话题、活动等;或者列举几个你喜欢看、平时常看的内容渠道;内容排版或呈现形式上有哪些可以改进的地方等。
作者提示:个人观点,仅供参考